为深入贯彻落实SC教学改革推进要求,推动“以学生为中心”的教育理念落地见效,经济管理学院于近日启动了SC教学改革专题读书分享活动。活动过程中,师生团队围绕三本核心著作展开研读,不仅提炼了前沿教育理论,更结合自身专业进行深度思考与实践探索,让抽象的改革理念通过文字转化为具体的学习行动,在理论与实践之间搭建起坚实的桥梁。
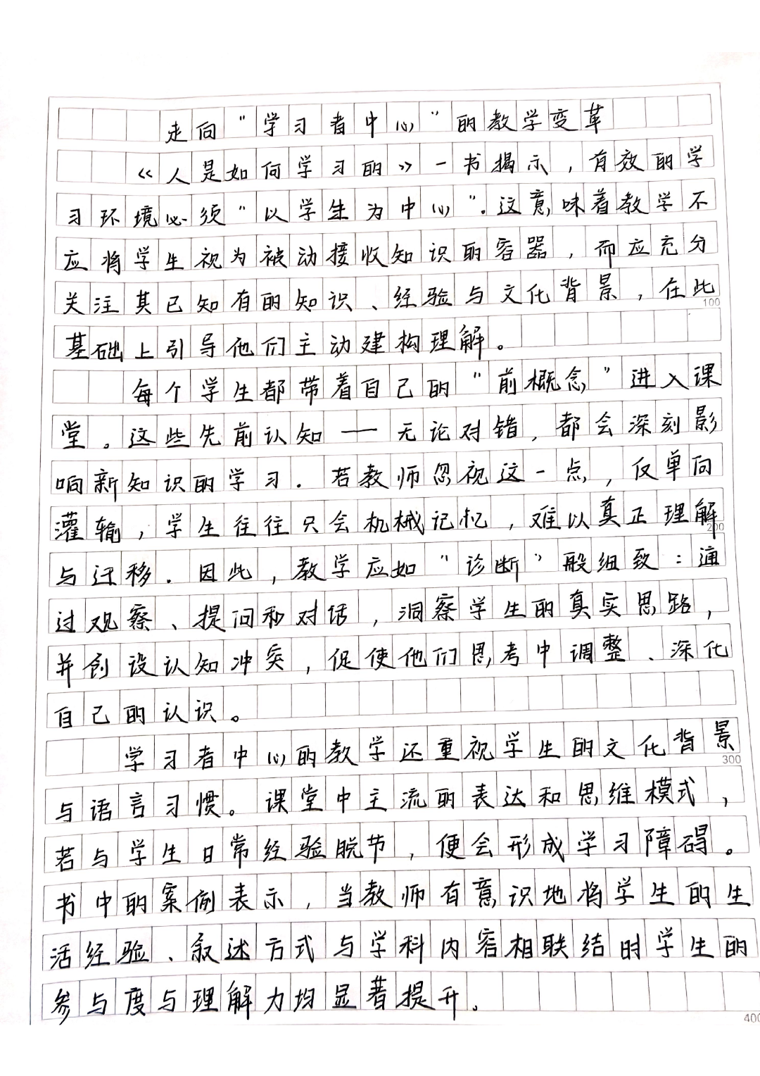
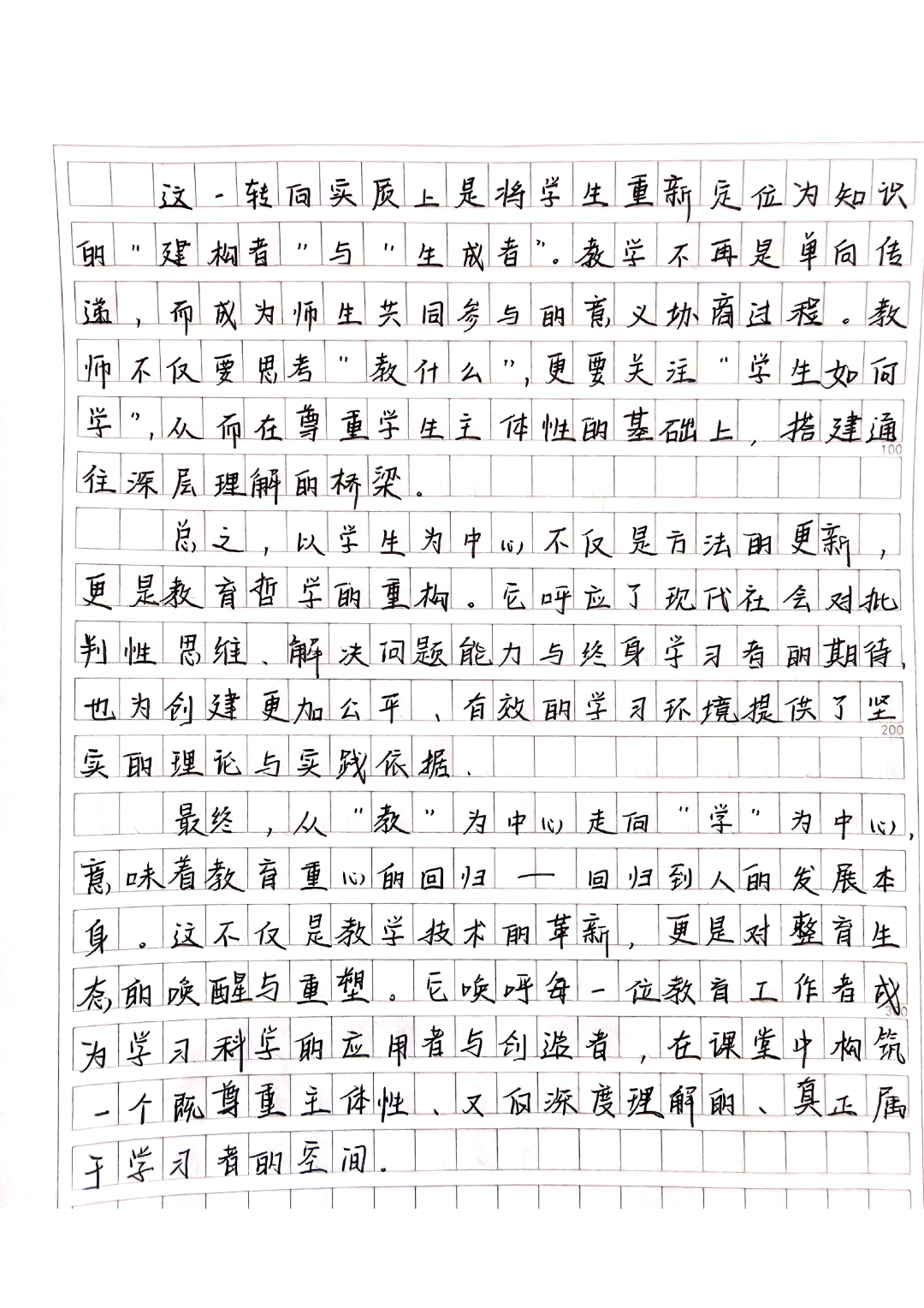
《人是如何学习的:大脑、心理、经验及学校》的读书笔记,彰显了同学们对学习本质的深度思索。该书依托脑科学与认知心理学成果,打破“机械记忆即学习”的误区,阐明学习是主动建构认知模型的核心,这一观点被重点研读。同学们在笔记中写道:“结合《管理学原理》案例课,‘主动建构’是带问题拆解逻辑,‘情境迁移’是将知识用于模拟营销方案”,与SC改革“让学生成为认知构建主体”的要义高度契合。


经济管理学院学生 文心宇


经济管理学院学生 彭雨哲、詹紫月
《人是如何学习的II:学习者、境脉与文化》聚焦实操学习方法,读书笔记侧重方法适配。该书围绕记忆规律、认知负荷管控展开,同学们标注了适配专业的技巧:“用思维导图梳理《财务管理》公式,可降低认知负荷”“拆分课程论文目标,激发小组协作动能”。这些批注串联理论与实操,将书中方法转化为提升专业效能的动力。


经济管理学院学生 陈思佳


经济管理学院学生 王天琪


经济管理学院学生 李珞溪
《以学生为中心——当代本科教育改革之道》的读书笔记,聚焦改革理念与专业融合。同学们摘录“新三中心”理念并提出建议:“‘以学习效果为中心’在《市场营销》课设真实场景,以成果反馈替代单一考试”“‘教学模式创新’增设研讨环节,让学生主导案例分析”。每条批注均凝聚对改革落地的思考,彰显经管学子的前瞻认知。


经济管理学院学生 李爽
笔墨凝真知,笃行赴新程。此次活动的读书笔记,既是对著作的深度解读,也是对SC改革理念的践行。未来,经济管理学院将以读书为抓手,推动改革走深走实,引导同学们锤炼思辨能力、提升专业素养,成长为适配时代需求的高素质应用型经管人才。